Việc tối ưu hóa công cụ tìm kiếm (SEO) không chỉ giới hạn ở việc sử dụng từ khóa một cách khéo léo hay tạo ra nội dung hấp dẫn mà còn có Link Building và xây dựng sự hiện diện trực tuyến. Trong bài viết này, EQVN sẽ hướng dẫn bạn Link Building là gì và các cách xây dựng Link Building hiệu quả cho website.
| EQVN là đơn vị tiên phong trong lĩnh vực đào tạo khóa học Digital Marketing từ năm 2009 và là đối tác chính thức của Facebook và Google. Với kinh nghiệm hơn 20 năm, chúng tôi sẽ cung cấp cho bạn những kiến thức Digital Marketing mới nhất và hữu ích nhất! Tìm hiểu thêm về EQVN tại đây nhé! |
1. Link Building là gì?
Link Building còn được gọi là Xây dựng liên kết, là quá trình thu thập các liên kết từ các trang web khác nhằm đưa về trang web của bạn. Mục đích chính của Link Building là cải thiện thứ hạng của trang web trên các công cụ tìm kiếm như Google, qua đó tăng lượng truy cập và độ nhận diện thương hiệu.
Trong SEO, các liên kết này thường được gọi là “Backlink”. Backlink từ các trang web có uy tín và liên quan đến nội dung của bạn cực kỳ có giá trị trong việc xếp hạng trang web của bạn trên các công cụ tìm kiếm. Nói cách khác, link building không chỉ là việc tăng số lượng liên kết, mà còn là việc tăng chất lượng của những liên kết đó.
2. Tại sao xây dựng Link Building lại quan trọng?
Việc hiểu rõ về sự phát triển của thuật toán Page Rank của Google giúp tối ưu hóa chiến lược kỹ thuật số và xây dựng liên kết hiệu quả. Khác biệt với quá khứ, khi các công cụ tìm kiếm chủ yếu tập trung phân tích nội dung trang, Google hiện nay đã mở rộng tiêu chí đánh giá của mình, không chỉ dựa vào chất lượng nội dung mà còn căn cứ vào số lượng và chất lượng các trang khác liên kết đến.
Sự thay đổi này trong thuật toán của Google làm nổi bật tầm quan trọng của Backlink – liên kết từ các trang web khác trỏ về trang của bạn. Google xem xét những liên kết này như là một dạng “phiếu bầu” về uy tín và chất lượng của trang web. Càng nhiều trang web chất lượng và uy tín liên kết đến trang của bạn, Google càng đánh giá cao trang web đó, dẫn đến vị trí cao hơn trong kết quả tìm kiếm.
Do đó, xây dựng liên kết trở thành một phần quan trọng không thể thiếu trong bất kỳ chiến lược SEO nào. Không chỉ giúp cải thiện vị trí của trang web trên công cụ tìm kiếm, Backlink còn giúp tăng cường độ tin cậy và tạo dựng thương hiệu cho trang web của bạn.
3. Các loại liên kết phổ biến trong hoạt động Link Building
3.1 Link từ Authority Domain
Khi một trang web tích lũy uy tín và độ thẩm quyền trong lĩnh vực của mình, việc hướng mục tiêu đến việc xây dựng liên kết từ những trang web này là rất hiệu quả. Những trang web có uy tín thường được xây dựng trên nền tảng nội dung chất lượng và sâu sắc, đặc biệt là những thông tin mang tính đa dạng. Do đó, khi trang web của bạn được liên kết từ những nguồn này, thể hiện được chất lượng và độ tin cậy đặc biệt của trang web đồng thời tăng cường giá trị của liên kết đó. Công cụ tìm kiếm đánh giá cao những liên kết này và xem chúng là một yếu tố quyết định trong việc xếp hạng trang web.
3.2 Nofollow Links
Google quy định rằng mọi liên kết trả tiền phải được đánh dấu với thuộc tính rel=”nofollow”. Thuộc tính Nofollow hướng dẫn các công cụ tìm kiếm không theo liên kết và trong lý thuyết liên kết với thuộc tính này sẽ không đóng góp vào bảng xếp hạng.Mặc dù liên kết nofollow không trực tiếp ảnh hưởng đến xếp hạng của một trang web trên Google, chúng vẫn có giá trị trong nhiều khía cạnh khác của chiến lược SEO. Chẳng hạn, chúng có thể giúp tạo ra sự nhận biết về thương hiệu và thu hút lưu lượng truy cập, mà không vi phạm các quy tắc của Google về liên kết tự nhiên. Hơn nữa, trong một số trường hợp, Link Nofollow cũng có thể chuyển thành liên kết Dofollow nếu chúng đến từ các nguồn đáng tin cậy và có liên quan đến nội dung trang web của bạn.
3.3 Vị trí liên kết
Vị trí của liên kết trên một trang web có ảnh hưởng lớn đến cách các công cụ tìm kiếm đánh giá và xếp hạng chúng. Các nghiên cứu và quan sát đã chỉ ra rằng Google có xu hướng gán trọng lượng lớn hơn cho các liên kết xuất hiện ở vị trí chiến lược trên trang web. Cụ thể, các đường dẫn từ chân trang (footer), thanh bên, hay các phần nổi bật khác thường được xem xét một cách đặc biệt. Các liên kết xuất hiện ở vị trí chiến lược thường được coi là có giá trị cao hơn và có thể đóng góp tích cực đến sự thăng tiến trong kết quả tìm kiếm.
3.4 Anchor text
Anchor text, hay còn được biết đến là văn bản mô tả liên kết, là một yếu tố quan trọng trong chiến lược xây dựng liên kết và SEO. Từ lâu, các công cụ tìm kiếm đã sử dụng anchor text để hiểu rõ hơn về nội dung và ngữ cảnh của các liên kết. Việc này giúp họ xác định chủ đề của trang web và xác định xem liệu liên kết có phản ánh chính xác nội dung mà trang web đích đang muốn truyền đạt hay không.
Một trong những điểm quan trọng là từ khóa trong Anchor text có tác động tích cực đến thứ hạng của trang web trong kết quả tìm kiếm. Các công cụ tìm kiếm đánh giá cao những liên kết có anchor text chứa từ khóa liên quan đến nội dung của trang đích. Điều này giúp tăng cường mối liên kết giữa nội dung của trang web và từ khóa mục tiêu, đồng thời cung cấp cho công cụ tìm kiếm một gợi ý rõ ràng về chủ đề của trang.
Tuy nhiên, không nên lạm dụng việc sử dụng từ khóa trong Anchor text. Việc quá mức sử dụng từ khóa có thể được coi là thao túng và có thể dẫn đến các hình phạt liên kết từ các công cụ tìm kiếm.
3.5. Liên kết tự nhiên
Liên kết tự nhiên là những liên kết mà không có sự can thiệp, thao túng hay tạo ra một cách cố ý cho mục đích tối ưu hóa SEO bao gồm những liên kết mà người dùng, chủ sở hữu trang web, hoặc biên tập viên tạo ra một cách tự nguyện và tự nhiên, không qua bất kỳ sự thúc đẩy hay áp đặt nào. Google và các công cụ tìm kiếm khác đã phát triển các thuật toán để xác định và gắn cờ cho những liên kết không tự nhiên. Các liên kết này có thể bị giảm giá trị hoặc thậm chí không được tính vào quá trình xếp hạng trên bảng kết quả tìm kiếm.
Liên kết được xem là tự nhiên thường đến từ những nguồn có liên quan và uy tín, dù là do chủ sở hữu trang web tìm thấy nội dung của bạn một cách hữu cơ, hay thông qua các chiến dịch quảng cáo và tiếp cận nếu chúng được thực hiện một cách minh bạch và không gây hiểu lầm. Liên kết mũ trắng, nghĩa là những liên kết được tạo ra một cách đúng đắn và đạo đức, luôn được xem là an toàn và là mục tiêu hướng đến trong bất kỳ chiến lược xây dựng liên kết nào.
4. Kỹ năng xây dựng Link Building bền vững
4.1 Phân tích đối thủ cạnh tranh
Trong quá trình xây dựng liên kết cho website, một bước quan trọng không thể bỏ qua là phân tích đối thủ cạnh tranh, đặc biệt là về cấu hình backlink của họ. Khi phân tích đối thủ cạnh tranh, bạn có thể sử dụng công cụ Ahrefs để thu thập dữ liệu tương tự như Google, cung cấp thông tin chi tiết về liên kết ngược (backlinks), bao gồm cả liên kết từ trang và trang web khác đến website cụ thể. Dữ liệu này có thể được truy cập thông qua báo cáo tên miền giới thiệu, nơi hiển thị tất cả các tên miền liên kết đến một website hoặc trang web cụ thể.
Thông qua việc phân tích này, chúng ta có thể nhận diện được các nguồn liên kết chất lượng mà đối thủ đang sử dụng, loại nội dung nào đang thu hút liên kết mạnh mẽ nhất, và các chiến thuật link building hiệu quả mà họ áp dụng. Từ đó, có thể phát triển chiến lược riêng phù hợp và hiệu quả.
4.2 Tạo nội dung chất lượng cao
Việc tạo ra những nội dung chất lượng là cơ sở để thu hút sự chú ý của độc giả và là chìa khóa để tạo ra giá trị thực sự và bền vững cho trang web.
- Nội Dung Hấp Dẫn và Có Giá Trị: Điều quan trọng nhất là tạo nên những nội dung mà người đọc cảm thấy hữu ích, mang tính giáo dục hoặc giải trí. Nội dung hấp dẫn và chất lượng cao sẽ tự nhiên thu hút backlink, bởi chúng được chia sẻ nhiều trong cộng đồng, được nhắc đến trên các diễn đàn, blog, và các trang web khác.
- Nội Dung Độc Đáo: Trong thế giới trực tuyến ngập tràn thông tin, việc tạo ra nội dung độc đáo và khác biệt là một thách thức. Hãy nỗ lực tạo ra những bài viết, hình ảnh, video, hoặc các loại nội dung khác mà không thể dễ dàng tìm thấy ở nơi khác sẽ giúp website của bạn nổi bật mà còn tạo ra lý do chính đáng để các trang web khác muốn liên kết tới bạn.
4.3 Sử Dụng Phương Tiện Truyền Thông Xã Hội
Truyền thông xã hội không chỉ là một công cụ giải trí, mà còn là một yếu tố quan trọng trong chiến lược xây dựng liên kết. Bằng cách sử dụng các nền tảng truyền thông xã hội, bạn có thể không chỉ quảng bá nội dung của mình mà còn tạo dựng và củng cố mối quan hệ với cộng đồng trực tuyến. Bạn có thể sử dụng các nền tảng này để:
- Quảng Bá Nội Dung: Mạng xã hội là một kênh lý tưởng để quảng bá nội dung của bạn. Bạn có thể chia sẻ bài viết, hình ảnh, video và các tài nguyên khác trên các nền tảng như Facebook, Twitter, LinkedIn, và Instagram. Sự chia sẻ trên các mạng xã hội giúp nội dung của bạn tăng cơ hội được chia sẻ và liên kết.
- Tương Tác với Cộng Đồng: Ngoài việc chia sẻ nội dung, tương tác với cộng đồng qua các bình luận, thảo luận, và trả lời các câu hỏi cũng là một chiến lược quan trọng. Việc tạo ra sự tương tác này không chỉ giúp xây dựng một cộng đồng thân thiết mà còn tăng cơ hội mọi người biết đến và chia sẻ nội dung của bạn.
4.4 Xây Dựng Mối Quan Hệ
Mối quan hệ chính là chìa khóa mở ra cánh cửa của những cơ hội không giới hạn trong lĩnh vực xây dựng liên kết. Có thể nói, đây là một trong những yếu tố then chốt và quan trọng nhất trong chiến lược Link Building
- Networking: Việc xây dựng và duy trì mối quan hệ với các blogger, nhà xuất bản và các chuyên gia trong ngành là vô cùng quan trọng. Các mối quan hệ này giúp bạn mở rộng mạng lưới liên kết, tạo điều kiện để trao đổi thông tin, kiến thức và kinh nghiệm. Bạn có thể phát triển, xây dựng thông qua các sự kiện ngành, hội thảo trực tuyến, hoặc thậm chí qua các trang mạng xã hội chuyên nghiệp như LinkedIn.
- Hợp Tác và Liên Kết: Ngoài việc kết nối với các chuyên gia, việc hợp tác với các đối tác và khách hàng cũng là cơ hội để tạo ra các liên kết tự nhiên. Bao gồm việc chia sẻ nội dung, tham gia vào các dự án chung, hay thậm chí là hợp tác phát triển các chiến dịch quảng cáo và tiếp thị. Mối quan hệ hợp tác này không chỉ làm tăng lượng backlinks chất lượng mà còn giúp củng cố uy tín và vị thế của bạn trong ngành.
5. Các cách xây dựng Link Building hiệu quả
5.1 Hiểu đúng để xây dựng những liên kết bền vững
Trong chiến lược SEO link building, việc tạo ra những backlink đến trang web của bạn là quan trọng để cải thiện vị trí trên công cụ tìm kiếm, đặc biệt là Google. Mặc dù backlink có thể tự nhiên nếu trang web của bạn nổi tiếng với nội dung chất lượng, nhưng bạn vẫn có khả năng tăng cường tiến trình này thông qua nhiều cách khác nhau. Các yếu tố ảnh hưởng đến hiệu suất của liên kết bao gồm:
- Mức Độ Tin Cậy: Trang web của bạn được đánh giá qua mức độ uy tín, có thể dựa trên số lượng lượt truy cập hoặc điểm PageRank. Mức độ tin cậy cao tạo ra sự ảnh hưởng lớn hơn trên vị trí trang web của bạn trên các công cụ tìm kiếm.
- Liên Kết Dây Chuyền: là mức độ liên quan của những website liên kết với bạn. Ví dụ: nếu có một website mà bạn liên kết lạm dụng việc spam liên kết đến các website khác có cùng mức độ spam backlinks tựa nhau, sẽ làm cho mức độ hiệu quả của những link building dẫn đến trang web của bạn bị giảm.
- Anchor Text: là đoạn văn bản xuất hiện thay vì địa chỉ tên miền, cần liên quan chặt chẽ đến nội dung và chủ đề mà trang web đang đề cập đến. Sự phù hợp giữa anchor text và nội dung trang web giúp tăng cường tính liên quan và giá trị cho công cụ tìm kiếm.
- Mức Độ Cập Nhật Giảm: Các trang web với ít lượt truy cập và cập nhật nội dung ít hơn có thể giảm độ liên quan của backlinks theo thời gian. Việc tạo thêm liên kết mới, đặc biệt là chất lượng, là quan trọng để bảo toàn sự liên quan và giữ cho trang web của bạn cải thiện trên bảng xếp hạng.
5.2 Tìm các blog và diễn đàn liên quan đến nội dung website của bạn
Tìm kiếm và tương tác với các blog, diễn đàn, và trang web liên quan đến nội dung của bạn là bước quan trọng trong chiến lược xây dựng link. Cách làm này giúp tăng cơ hội hiển thị link của bạn mà còn tạo ra một môi trường hợp tác tích cực. Bạn có thể chủ động tham gia trong các diễn đàn và blog bằng cách để lại bình luận thông minh, đặt câu hỏi hay chia sẻ kiến thức của mình.
Quan trọng hơn, khi tham gia vào các cộng đồng này, bạn có thể chèn link vào phần chữ ký hoặc hồ sơ cá nhân, giúp tạo ra những liên kết một cách tự nhiên và có giá trị không chỉ giúp tăng uy tín và sự hiệu quả của backlink mà còn tạo ra một cơ hội để theo dõi và đánh giá sự phát triển của chiến lược xây dựng liên kết của bạn.
Hãy nhìn nhận các trang web cùng lĩnh vực không chỉ là đối thủ cạnh tranh mà còn là đối tác tiềm năng. Việc xây dựng mối quan hệ sẽ không chỉ tạo ra những liên kết chất lượng mà còn mở ra những cơ hội hợp tác tích cực, đánh dấu bước tiến quan trọng trong việc xây dựng một mạng lưới link building vững mạnh cho trang web của bạn.
5.3 Đăng tải những nội dung hữu ích
Việc đăng tải nội dung hữu ích và liên quan giúp cung cấp thông tin giá trị cho người đọc và cải thiện thứ hạng của trang web bạn trên các công cụ tìm kiếm. Bước đầu tiên là viết các bài báo ngắn nhưng sâu sắc, tập trung vào các chủ đề liên quan đến lĩnh vực hoạt động của bạn. Người đọc sẽ được cung cấp thông tin hữu ích họ đang tìm kiếm. Mỗi bài viết nên chứa liên kết trở lại trang web của bạn, tạo điều kiện thuận lợi cho việc index và nhận diện link bởi các công cụ tìm kiếm. Ngoài ra, việc xuất bản bài viết trên các trang web khác trong cùng lĩnh vực cũng là một cách hiệu quả để mở rộng độ phủ sóng và tạo ra backlinks chất lượng giúp tăng độ tin cậy và uy tín của trang web bạn mà còn góp phần cải thiện vị trí của bạn trên kết quả tìm kiếm. Đừng quên cập nhật nội dung thường xuyên và đảm bảo nó phù hợp, hấp dẫn để thu hút sự chú ý và tạo ra sự tương tác từ cộng đồng mục tiêu của bạn.
5.4 Sử dụng RSS để làm tăng khả năng lan tỏa nội dung
RSS (Really Simple Syndication) là một định dạng được sử dụng rộng rãi trực tuyến để xuất bản nội dung, bao gồm trên các trang web, blog và các nguồn tin tức. Nguồn cấp dữ liệu RSS, hay còn gọi là tài nguyên, chứa thông tin và dữ liệu được cập nhật khi một trang web hoặc blog thực hiện các bài đăng mới. Quá trình xuất bản nhiều trang web trên kênh RSS càng nhiều, nội dung của bạn sẽ xuất hiện trên nhiều công cụ tìm kiếm hơn. Quan trọng nhất, để đạt được hiệu quả tốt nhất, hãy đảm bảo rằng tất cả bài viết của bạn được cập nhật thông qua kênh RSS và được xuất bản trong các danh mục RSS thích hợp. Điều này sẽ thu hút một lượng lớn độc giả quan tâm và thường xuyên cập nhật nội dung mới, góp phần tạo ra một lượng lớn backlinks tự nhiên và bền vững cho trang web của bạn.
5.5 Trả lời các câu hỏi
Trả lời các câu hỏi trên các trang web hỏi đáp là một chiến thuật xây dựng liên kết hiệu quả, mặc dù nó có thể yêu cầu một lượng thời gian đáng kể từ bạn. Nhiều trang web hỏi đáp cho phép chuyên gia như bạn đăng đường dẫn liên kết đến nguồn nội dung cung cấp câu trả lời cho người dùng. Điều này không chỉ giúp robot tìm kiếm thu thập thông tin mà còn giúp người dùng tìm thấy câu trả lời hữu ích, và từ đó, họ có thể nhấp vào liên kết mà bạn cung cấp để truy cập website của bạn. Cách làm này có thể tăng đáng kể vị trí của website bạn trên bảng xếp hạng tìm kiếm, nhất là khi Google thường ưu ái các trang web hỏi đáp. Tuy nhiên, điều quan trọng là không nên lạm dụng phương pháp này. Hãy giữ mức độ cân nhắc, trả lời vài câu hỏi mỗi tuần để đảm bảo rằng bạn đang cung cấp giá trị thực sự và không bị coi là spam.
5.6 Viết nội dung ở Blog
Việc viết bài trên blog không chỉ là một cách hiệu quả để xây dựng liên kết, mà còn là cách mạnh mẽ để tăng cường sự hiện diện trực tuyến của bạn. Mặc dù có thể tốn thời gian, nhưng việc quản lý một cách khoa học blog có thể mang lại nhiều lợi ích đáng kể.
Việc tạo nội dung chất lượng trên blog giúp xây dựng và củng cố liên kết đến trang web chính của bạn. Bạn có thể sử dụng blog để chia sẻ thông tin, kiến thức chuyên sâu, hoặc cập nhật về lĩnh vực của mình. Việc này không chỉ thu hút sự chú ý từ độc giả mục tiêu mà còn tạo ra cơ hội để chèn liên kết chất lượng đến trang web của bạn. Để giữ những độc giả trung thành, hãy chủ động chèn nội dung quảng cáo một cách hợp lý mà không cần phải xin phép, giúp tăng cường thu nhập từ blog. Đồng thời, đặt một liên kết trong bài viết của bạn để tạo tiện ích cho người đọc, đồng thời tối ưu hóa cơ hội để họ chuyển đến trang web chính của bạn.
5.7 Đưa website của bạn lên các trang web danh mục
Các trang web danh mục là nơi tuyệt vời để giới thiệu về doanh nghiệp, tổ chức và hoạt động trong nhiều lĩnh vực khác nhau. Chúng cung cấp thông tin chi tiết về các đơn vị hoạt động và đi kèm với liên kết cụ thể đến từng trang web trong từng danh mục cụ thể. Quá trình thêm liên kết vào các danh mục này có thể diễn ra theo cách thủ công hoặc thông qua các hệ thống chỉ mục tự động. Một số trang web sẽ cập nhật thông tin của bạn một cách thủ công, trong khi một số khác có hệ thống mục chỉ tự động, cho phép bạn tự chủ động cập nhật thông tin giới thiệu.
Vì quá trình này có thể tốn nhiều thời gian, nhiều tổ chức quyết định giao việc này cho đơn vị bên ngoài để tiết kiệm thời gian và chi phí. Cũng có trường hợp các chuyên viên link building được ủy thác công việc này để họ có thể tập trung vào việc tối ưu hóa hiệu suất và chất lượng của liên kết.
5.8 Trực tiếp đặt vấn đề liên kết với các website khác
Một chiến lược hiệu quả khác trong xây dựng backlink chất lượng là việc tiếp cận trực tiếp với các quản trị viên của các trang web tiềm năng. Khi bạn phát hiện một trang web có khả năng cung cấp backlink chất lượng cao cho trang của mình, hãy liên hệ trực tiếp với họ. Bạn có thể đề xuất một thỏa thuận để đặt liên kết thu phí hàng tháng, hoặc một liên kết chéo, nơi mỗi bên đều có lợi từ việc nâng cao uy tín và khả năng tiếp cận của trang web đối tác. Ví dụ, nếu trang web của bạn chuyên về lời khuyên sức khỏe, hãy xem xét liên hệ với các trang web bán hàng liên quan đến sức khỏe.
Quá trình xây dựng SEO Link Building là một yếu tố quan trọng trong chiến lược SEO tổng thể của một doanh nghiệp. Một số lượng lớn link chất lượng hướng về trang web của bạn không chỉ cải thiện thứ hạng trên trang kết quả tìm kiếm của Google mà còn giúp tăng cường sự tin cậy và thẩm quyền của trang web. Để đạt được kết quả tối ưu trong chiến lược SEO mà vẫn tiết kiệm thời gian và chi phí, việc tìm kiếm và hợp tác với một đơn vị SEO uy tín là một lựa chọn sáng suốt.
6. 7 Mô hình Link Building hiệu quả trong SEO
6.1 Mô hình liên kết dạng bánh xe (Link wheel)
Mô hình Link Wheel, hay còn gọi là mô hình liên kết dạng bánh xe, là một chiến lược SEO tiên tiến, nhằm tăng cường sức mạnh liên kết và cải thiện thứ hạng của một trang web trên các công cụ tìm kiếm. Trong mô hình này, các trang web vệ tinh được tạo ra trên nhiều nền tảng khác nhau, mỗi trang chứa nội dung chất lượng cao và liên kết trực tiếp đến trang web chính. Điều quan trọng là các trang vệ tinh này không chỉ liên kết đến trang chính mà còn liên kết với nhau, tạo thành một chuỗi giống như các nan hoa của một bánh xe. Tuy nhiên, điều cần lưu ý là chất lượng của từng trang web vệ tinh phải được đảm bảo; bất kỳ trang nào kém chất lượng có thể ảnh hưởng tiêu cực đến toàn bộ hệ thống. Mô hình này yêu cầu sự chú trọng vào nội dung chất lượng, sự tự nhiên trong việc xây dựng liên kết, và độ đa dạng trên các nền tảng khác nhau, để tránh rủi ro và tối ưu hóa hiệu quả SEO.
6.2 Mô hình liên kết dạng ngôi sao (Link star)
Mô hình liên kết dạng ngôi sao (Link Star) là một chiến lược SEO tập trung vào việc xây dựng backlink từ các trang web vệ tinh trực tiếp đến trang chính mà không thông qua các liên kết với nhau. Trong mô hình này, mỗi trang web vệ tinh đóng vai trò như một “ngôi sao,” trỏ trực tiếp đến trang chính, điều này giúp tăng cường sức mạnh liên kết của trang chính. Tuy nhiên, điều quan trọng là mô hình này thích hợp đặc biệt cho các từ khóa đơn giản và không phức tạp. Đối với từ khóa có độ cạnh tranh cao và phức tạp, chiến lược này có thể không mang lại hiệu quả cao, và doanh nghiệp cần xem xét kỹ lưỡng trước khi triển khai mô hình liên kết dạng ngôi sao để đảm bảo phù hợp với mục tiêu SEO cụ thể
6.3 Mô hình liên kết dạng “kim tự tháp” (Link Pyramid)
Mô hình liên kết dạng “kim tự tháp” (Link Pyramid) là một chiến lược SEO tận dụng cấu trúc kim tự tháp để xây dựng liên kết từ các trang web vệ tinh đến trang chính. Trong mô hình này, trang web mục tiêu sẽ nhận được lượt truy cập chất lượng từ các trang web vệ tinh ở cấp độ thấp hơn trong kim tự tháp. Các trang vệ tinh có chất lượng backlink cao hơn, đồng thời chúng có thể được tối ưu hóa để hỗ trợ trang chính tối đa.
Tuy nhiên, cần lưu ý rằng có nguy cơ một số khách hàng chỉ tập trung vào việc thăm các trang vệ tinh thay vì di chuyển đến trang chính. Điều này có thể làm giảm hiệu suất của mô hình kim tự tháp, đặc biệt là khi chất lượng backlink từ các trang vệ tinh cuối cùng không đảm bảo.
6.4 Mô hình liên kết dạng chuỗi (Link Chain)
Mô hình liên kết dạng chuỗi (Link Chain) là một kỹ thuật trong SEO, nơi mà mỗi trang web vệ tinh không chỉ trỏ liên kết đến trang web chính mà còn liên kết với một trang web vệ tinh khác trong chuỗi. Điểm đặc biệt của mô hình này là trang web vệ tinh cuối cùng trong chuỗi sẽ không liên kết với bất kỳ trang nào khác ngoài trang web mục tiêu, tạo ra một chuỗi liên kết hợp lý và chặt chẽ từ các trang vệ tinh đến trang chính.Việc xây dựng và duy trì mô hình này đòi hỏi sự nghiên cứu kỹ lưỡng và chọn lựa các liên kết chất lượng cao, cũng như dành nhiều thời gian để phân tích và quản lý. Mô hình liên kết dạng chuỗi có thể rất hiệu quả khi được thực hiện đúng cách, và chính vì lý do này mà nó trở thành lựa chọn phổ biến của nhiều đơn vị SEO hiện nay.
6.5 Mô hình liên kết dạng bánh xe đôi (Double Linked Link Wheel)
Mô hình liên kết dạng bánh xe đôi (Double Linked Link Wheel) là một biến thể phức tạp của mô hình bánh xe truyền thống. Điều đặc biệt ở đây là mỗi trang web vệ tinh không chỉ trỏ về trang chính mà còn liên kết với hai trang web vệ tinh khác trong hệ thống. Mục tiêu của Double Linked Link Wheel là tăng cường hiệu suất và sức mạnh của liên kết, đặc biệt là trong việc đưa lượng truy cập đến trang chủ của bạn. Việc này có thể giúp tối ưu hóa khả năng xếp hạng trang web chính trên các công cụ tìm kiếm, do mỗi trang vệ tinh đều đóng góp vào việc tăng cường uy tín và giá trị của trang chủ.
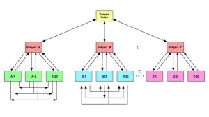
6.6 Mô hình liên kết dạng lưới (link Web)
Mô hình liên kết dạng lưới (Link Web) là một kỹ thuật xây dựng link phức tạp, trong đó website chính của bạn đóng vai trò là trung tâm của một mạng lưới liên kết rộng lớn. Trong mô hình này, một số lượng lớn các web vệ tinh được tạo ra và mỗi trang trong số đó được kết nối trực tiếp với trang web chính. Việc xây dựng và duy trì một mạng lưới liên kết dạng lưới đòi hỏi sự cẩn trọng và kỹ lưỡng. Cần phải có số lượng lớn các trang web vệ tinh chất lượng, đồng thời đảm bảo rằng mỗi liên kết đều có giá trị và phục vụ cho mục tiêu SEO tổng thể.
6.7 Mô hình liên kết dạng hỗn hợp
Mô hình liên kết dạng hỗn hợp là sự kết hợp và linh hoạt trong việc sử dụng nhiều hình thức xây dựng liên kết khác nhau, nhằm tối ưu hóa chiến lược SEO dựa trên đặc điểm cụ thể của từng từ khóa và mức độ cạnh tranh. Khi đối mặt với từ khóa đơn giản và không quá cạnh tranh, mô hình liên kết dạng ngôi sao (Link Star) có thể được áp dụng để tập trung lực lượng liên kết vào trang chính một cách hiệu quả. Ngược lại, nếu từ khóa phức tạp và độ cạnh tranh cao, việc sử dụng mô hình bánh xe (Link Wheel) hoặc chuỗi (Link Chain) có thể giúp tăng cường sức mạnh của chiến dịch.
7. Kết luận
Sử dụng Links Building là một phần quan trọng trong chiến lược SEO ngày nay. Bằng cách áp dụng những chiến lược thông minh và sáng tạo, doanh nghiệp có thể không chỉ tối ưu hóa SEO mà còn xây dựng gắn kết với khách hàng mục tiêu. EQVN hy vọng qua bài viết này, bạn đã có thêm cho mình những kiến thức mới về Impression là gì là gì cũng như những kinh nghiệm mới cho việc phát triển SEO tổng thể nói chung và Digital Marketing nói riêng.
Bạn cũng có thể tham khảo thêm Khóa học SEO tại EQVN. Khóa học sẽ giúp bạn nắm bắt kiến thức về SEO nói chung và kỹ thuật SEO Onpage nói riêng, nhằm mục đích nâng cao nhận thức của khách hàng cũng như tối ưu hóa SEO, từ đó gia tăng tỷ lệ chuyển đổi và nâng cao hiệu quả quả kinh doanh.
Tham khảo khóa học
Đến với khóa học SEO tại EQVN, học viên nhận được những lợi ích gì?
- Cập nhật những kiến thức mới nhất về SEO
- Đề phòng cách thức nghiên cứu và phân loại từ khóa
- Xây dựng nội dung bài viết chuẩn SEO
- Biết cách sử dụng các công cụ hỗ trợ SEO
- Xây dựng chiến lược SEO tổng thể và lập kế hoạch SEO
- Triển khai SEO Onpage và SEO Offpage một cách hiệu quả
Tham khảo thông tin chi tiết tại Khóa học SEO – Tối ưu công cụ tìm kiếm Google
Bên cạnh đó, để có thể phát huy mạnh mẽ lợi thế của việc kết hợp và truyền thông đa kênh, Khóa học Chuyên viên Digital Marketing sẽ là lựa chọn phù hợp cho bạn.
Tìm hiểu tổng quan về SEO – Tối ưu công cụ tìm kiếm Google
Để cập nhật các kiến thức mới về SEO, bạn đọc có thể tham khảo tại Chuyên mục bài viết về SEO – Tối ưu hóa công cụ tìm kiếm
Theo dõi các bài viết trên website EQVN
Để cập nhật thêm thông tin, kiến thức bổ ích khác về triển khai Digital Marketing
:







